题目内容
已知椭圆4x2+y2=1及直线y=x+m.(1)当m为何值时,直线与椭圆有公共点?
(2)若直线被椭圆截得的弦长为
【答案】分析:(1)将直线的方程y=x+m与椭圆的方程4x2+y2=1联立,得到5x2+2mx+m2-1=0,利用△=-16m2+20≥0即可求得m的取值范围;
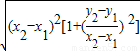
(2)利用两点间的距离公式,再借助于韦达定理即可得到:两交点AB之间的距离∴|AB|=
=
=
=
,从而可求得m的值.
解答:解:(1)把直线y=x+m代入椭圆方程得:4x2+(x+m)2=1
即:5x2+2mx+m2-1=0,
△=(2m)2-4×5×(m2-1)=-16m2+20≥0
解得:
.
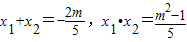
(2)设该直线与椭圆相交于两点A(x1,y1),B(x2,y2),则x1,x2是方程5x2+2mx+m2-1=0的两根,由韦达定理可得:
,
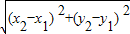
∴|AB|=
=
=
=
=
;
∴m=0.
∴直线的方程为y=x.
点评:本题考查直线与圆锥曲线的位置关系与弦长问题,难点在于弦长公式的灵活应用,属于中档题.
(2)利用两点间的距离公式,再借助于韦达定理即可得到:两交点AB之间的距离∴|AB|=
解答:解:(1)把直线y=x+m代入椭圆方程得:4x2+(x+m)2=1
即:5x2+2mx+m2-1=0,
△=(2m)2-4×5×(m2-1)=-16m2+20≥0
解得:
(2)设该直线与椭圆相交于两点A(x1,y1),B(x2,y2),则x1,x2是方程5x2+2mx+m2-1=0的两根,由韦达定理可得:
∴|AB|=
=
∴m=0.
∴直线的方程为y=x.
点评:本题考查直线与圆锥曲线的位置关系与弦长问题,难点在于弦长公式的灵活应用,属于中档题.
练习册系列答案
相关题目