题目内容
过双曲线
上任意一点
,作与实轴平行的直线,交两渐近线
、
两点,若
,则该双曲线的离心率为__ __.
【答案】
![]()
【解析】
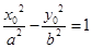
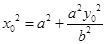
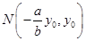
试题分析:设
,则
,
,则
,故
,即
,又因为点
在双曲线上,故
,得
,由此可得
,从而
,所以
.
考点:双曲线的离心率.
练习册系列答案
相关题目
题目内容
过双曲线
上任意一点
,作与实轴平行的直线,交两渐近线
、
两点,若
,则该双曲线的离心率为__ __.
![]()
【解析】
试题分析:设
,则
,
,则
,故
,即
,又因为点
在双曲线上,故
,得
,由此可得
,从而
,所以
.
考点:双曲线的离心率.