题目内容

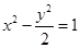
已知点为双曲线的左、右焦点,过作垂直于轴的直线,在轴上方交双曲线于点,且.圆的方程是

(1)求双曲线的方程;

(2)过双曲线上任意一点作该双曲线两条渐近线的垂线,垂足分别为,求的值;

 

【答案】

(1) ;(2)

【解析】

试题分析:(1)从双曲线方程中发现只有一个参数,因此我们只要找一个关系式就可求解,而这个关系式在中,,通过直角三角形的关系就可求得;(2)由(1)知双曲线的渐近线为,这两条渐近线在含双曲线那部分的夹角为钝角,因此过双曲线上的点作该双曲线两条渐近线的垂线为锐角,这样这题我们只要认真计算,设点坐标为,由点到直线距离公式求出距离,利用两条直线夹角公式求出,从而得到向量的数量积.

试题解析:(1)设的坐标分别为

    因为点在双曲线上,所以,即,所以 

中,,所以            3分

由双曲线的定义可知:

     故双曲线的方程为:                    6分

(2)由条件可知:两条渐近线分别为         8分

设双曲线上的点,设两渐近线的夹角为,则

则点到两条渐近线的距离分别为 ,  11分

因为在双曲线上,所以 ,

所以         14分

考点:(1)双曲线的方程;(2)占到直线的距离,向量的数量积件.

 

练习册系列答案
相关题目

违法和不良信息举报电话:027-86699610 举报邮箱:58377363@163.com

精英家教网