题目内容

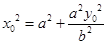
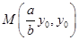
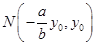
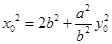
过双曲线上任意一点,作与实轴平行的直线,交两渐近线于两点,若,则该双曲线的离心率为(     )

(A)        (B)        (C)          (D)

 

【答案】

C

【解析】

试题分析:设,则,则,故,即,又因为点在双曲线上,故,得,由此可得,从而,所以

考点:双曲线的离心率.

 

练习册系列答案
相关题目

违法和不良信息举报电话:027-86699610 举报邮箱:58377363@163.com

精英家教网