题目内容
已知{an}是各项均为正数的等差数列,lga1,lga2,lga4成等差数列.又(Ⅰ)证明{bn}为等比数列;
(Ⅱ)如果数列{bn}前3项的和等于
【答案】分析:(1)先设{an}中首项为a1,公差为d,根据等差中项的性质可知2lga2=lga1+lga4,把a1和d关系找出来,即d=0或d=a1,然后对d的两种情况进行讨论即可确定答案.
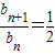
(2)当d=0时根据b1+b2+b3可求得a1;当d=a1时,根据bn=
,再根据b1+b2+b3=
,求得a1.
解答:(1)证明:设{an}中首项为a1,公差为d.
∵lga1,lga2,lga4成等差数列
∴2lga2=lga1+lga4
∴a22=a1•a4,即(a1+d)2=a1(a1+3d)
∴d=0或d=a1
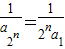
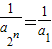
当d=0时,an=a1,bn=
,
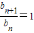
∴
,
∴{bn}为等比数列;
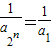
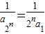
当d=a1时,an=na1,bn=
,
∴
,
∴{bn}为等比数列
综上可知{bn}为等比数列
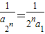
(2)当d=0时,bn=
,
∴b1+b2+b3=
=
∴a1=
;
当d=a1时,bn=
∴b1+b2+b3=
∴a1=3
综上可知
或
点评:本题主要考查了等比数列和等差数列的性质.涉及数列的公式多,复杂多样,故应多下点功夫记忆.
(2)当d=0时根据b1+b2+b3可求得a1;当d=a1时,根据bn=
解答:(1)证明:设{an}中首项为a1,公差为d.
∵lga1,lga2,lga4成等差数列
∴2lga2=lga1+lga4
∴a22=a1•a4,即(a1+d)2=a1(a1+3d)
∴d=0或d=a1
当d=0时,an=a1,bn=
∴
∴{bn}为等比数列;
当d=a1时,an=na1,bn=
∴
∴{bn}为等比数列
综上可知{bn}为等比数列
(2)当d=0时,bn=
∴b1+b2+b3=
∴a1=
当d=a1时,bn=
∴b1+b2+b3=
∴a1=3
综上可知
点评:本题主要考查了等比数列和等差数列的性质.涉及数列的公式多,复杂多样,故应多下点功夫记忆.
练习册系列答案
相关题目