题目内容
在平面直角坐标系Oxy中,直线y=a(a>0)与抛物线y=x2所围成的封闭图形的面积为
【答案】分析:联立方程,先求出其交点坐标,再利用微积分基本定理定理即可得出.
解答:
解:由
可得可得A(
,a)B(
,a)
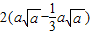
S=
=(ax
)
=
=
=
解得a=2
故答案为:2
点评:此题考查了定积分的运算,考查了数形结合的思想,利用定积分表示封闭图形的面积是解本题的关键.
解答:
S=
解得a=2
故答案为:2
点评:此题考查了定积分的运算,考查了数形结合的思想,利用定积分表示封闭图形的面积是解本题的关键.
练习册系列答案
相关题目