题目内容
已知△ABC中,点A、B的坐标分别为(1)若点C坐标为
(2)过点P(m,0)作倾角为
【答案】分析:(1)设椭圆方程为
(a>b>0),确定椭圆的几何量,即可求出以A、B为焦点且经过点C的椭圆的方程;
(2)设出直线方程,代入椭圆方程,利用韦达定理及Q恰在以MN为直径的圆上,即可求实数m的值.
解答:解:(1)设椭圆方程为
(a>b>0),则c=
,
∵C
,A
,
∴2a=|AC|+|BC|=4,b=
=
,
∴椭圆方程为
(5分)
(2)直线l的方程为y=-(x-m),令M(x1,y1),N(x2,y2),
将y=-(x-m)代入椭圆方程
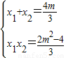
,消去y可得6x2-8mx+4m2-8=0
∴
,
若Q恰在以MN为直径的圆上,则
,
即m2+1-(m+1)(x1+x2)+2x1x2=0,
∴3m2-4m-5=0
解得
.
点评:本题考查椭圆的标准方程,考查直线与椭圆的位置关系,解题的关键是直线与椭圆方程的联立,利用韦达定理解题.
(2)设出直线方程,代入椭圆方程,利用韦达定理及Q恰在以MN为直径的圆上,即可求实数m的值.
解答:解:(1)设椭圆方程为
∵C
∴2a=|AC|+|BC|=4,b=
∴椭圆方程为
(2)直线l的方程为y=-(x-m),令M(x1,y1),N(x2,y2),
将y=-(x-m)代入椭圆方程
∴
若Q恰在以MN为直径的圆上,则
即m2+1-(m+1)(x1+x2)+2x1x2=0,
∴3m2-4m-5=0
解得
点评:本题考查椭圆的标准方程,考查直线与椭圆的位置关系,解题的关键是直线与椭圆方程的联立,利用韦达定理解题.
练习册系列答案
相关题目