题目内容
数列
的首项为1,数列
为等比数列且
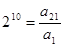
,若
,则
( )
(A)20 (B)512 (C)1013 (D)1024
【答案】
D
【解析】
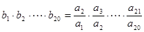
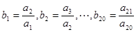
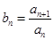
试题分析:由
可知
,所以
,又数列
为等比数列,所以
,于是有
,即
,又
所以
,故答案选D.
考点:等比数列及其性质、以及累积法,考查学生的分析、计算能力.
练习册系列答案
相关题目