题目内容
已知f(x)为定义在(-1,1)上的奇函数,当x∈(0,1)时,(1)求f(x)在(-1,1)上的解析式;
(2)试判断函数f(x)在区间(0,1)上的单调性,并给出证明.
【答案】分析:(1)当-1<x<0时,
,再由f(0)=0,能求出f(x)在(-1,1)上的解析式.
(2)函数f(x)在区间(-1,0)上为单调减函数.利用定义法进行证明即可.
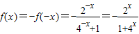
解答:解:(1)∵f(x)为定义在(-1,1)上的奇函数,
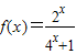
当x∈(0,1)时,
;
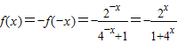
∴当-1<x<0时,0<-x<1,
,
又∵f(0)=0,
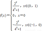
∴
…(6分)
(2)函数f(x)在区间(-1,0)上为单调减函数.
证明如下:
设x1,x2是区间(0,1)上的任意两个实数,且x1<x2,
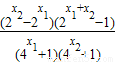
则
…(8分)
=
,
因为
,
所以f(x1)-f(x2)>0,即f(x1)>f(x2).
所以函数f(x)在区间(-1,0)上为单调减函数.…(12分)
点评:本题考查函数解析式的求法,考查函数单调性的证明.解题时要认真审题,仔细解答,注意定义法证明函数单调性的合理运用.
(2)函数f(x)在区间(-1,0)上为单调减函数.利用定义法进行证明即可.
解答:解:(1)∵f(x)为定义在(-1,1)上的奇函数,
当x∈(0,1)时,
∴当-1<x<0时,0<-x<1,
又∵f(0)=0,
∴
(2)函数f(x)在区间(-1,0)上为单调减函数.
证明如下:
设x1,x2是区间(0,1)上的任意两个实数,且x1<x2,
则
=
因为
所以f(x1)-f(x2)>0,即f(x1)>f(x2).
所以函数f(x)在区间(-1,0)上为单调减函数.…(12分)
点评:本题考查函数解析式的求法,考查函数单调性的证明.解题时要认真审题,仔细解答,注意定义法证明函数单调性的合理运用.
练习册系列答案
相关题目
已知f(x)为定义在(-∞,+∞)上的可导函数,且f(x)<f′(x)对于x∈R恒成立,则( )
| A、f(2)>e2f(0),f(2010)>e2010f(0) | B、f(2)<e2f(0),f(2010)>e2010f(0) | C、f(2)>e2f(0),f(2010)<e2010f(0) | D、f(2)<e2f(0),f(2010)<e2010f(0) |
已知f(x)为定义在R上的奇函数,当x≥0时,f(x)=x(1+x),则当x<0时,有( )
| A、f(x)=-x(1+x) | B、f(x)=-x(1-x) | C、f(x)=x(1-x) | D、f(x)=x(x-1) |