题目内容
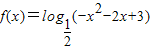
函数
【答案】分析:求出函数的定义域,由外层函数为减函数,只要求内层函数的减区间即可.
解答:解:由-x2-2x+3>0,得-3<x<1.
所以函数f(x)的定义域为(-3,1).
令t=-x2-2x+3,函数的对称轴方程为x=-1.
当x∈(-1,1)时t=-x2-2x+3单调递减,
而y=
为定义域内的减函数,所以
当x∈(-1,1)时函数
单调递增.
故答案为(-1,1).
点评:本题考查了复合函数的单调性,复合函数的单调性遵循“同增异减”的原则,关键考虑函数的定义域,是中档题.
解答:解:由-x2-2x+3>0,得-3<x<1.
所以函数f(x)的定义域为(-3,1).
令t=-x2-2x+3,函数的对称轴方程为x=-1.
当x∈(-1,1)时t=-x2-2x+3单调递减,
而y=
当x∈(-1,1)时函数
故答案为(-1,1).
点评:本题考查了复合函数的单调性,复合函数的单调性遵循“同增异减”的原则,关键考虑函数的定义域,是中档题.
练习册系列答案
相关题目