题目内容
设
,其中
满足约束条件
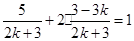
,若
的最小值
,则k的值为___
.
【答案】
1.
【解析】
试题分析:由题意若
的最小值为1,则直线
通过直线
和直线
的交点
,则有
,解得
.
考点:线性规划.
练习册系列答案
相关题目
题目内容
设
,其中
满足约束条件
,若
的最小值
,则k的值为___
.
1.
【解析】
试题分析:由题意若
的最小值为1,则直线
通过直线
和直线
的交点
,则有
,解得
.
考点:线性规划.