题目内容

设数列的前项和为

(1)求

(2)设,证明:数列是等比数列;

(3)求数列的前项和为

 

【答案】

(1);(2)证明见试题解析;(3)

【解析】

试题分析:(1)只要把中的分别用1和2代,即可求出;(2)已知的问题解决方法,一般是把换成(或)得,两式相减,得出数列的递推关系,以便求解;(3)数列可以看作是等差数列与等比数列对应项相乘得到的,其前项和一般是用错位相减法求解.,此式两边同乘以仅比,得,然后两式相减,把和转化为等比数列的和的问题.

试题解析:(1)由已知,∴,又,∴.  4分

(2),两式相减得

,即

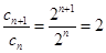
(常数),又

是首项为2,公比为2的等比数列,.    8分

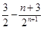
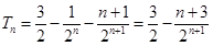
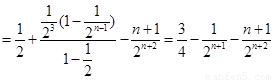
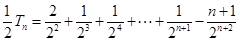
(3)

相减得

.    12分

考点:(1)求数列的项;(2)证明等比数列问题;(3)错位相减法求数列的和.

 

练习册系列答案
相关题目

违法和不良信息举报电话:027-86699610 举报邮箱:58377363@163.com

精英家教网