搜索
题目内容
i是虚数单位,
=( )
A.1+2i
B.-1-2i
C.1-2i
D.-1+2i
试题答案
相关练习册答案
【答案】
分析:
复数的分子、分母同乘分母的共轭复数,化简即可.
解答:
解:
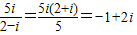
,
故选D.
点评:
本小题考查复数代数形式的乘除运算,基础题.
练习册系列答案
全优中考系统总复习系列答案
全优卷练考通系列答案
全优点练单元计划系列答案
全优标准卷系列答案
全能课堂系列答案
全能超越堂堂清课堂8分钟小测系列答案
全练练测考系列答案
招生分班真题分类卷系列答案
全程助学系列答案
全程提优大考卷系列答案
相关题目
若复数z=1+ai(i是虚数单位)的模不大于2,则实数a的取值范围是
.
若z(1+i)=1-i (i是虚数单位),则z的共轭复数
.
z
=
i
i
.
若复数
z=
5
1-2i
(i是虚数单位),则z化简后的结果为z=
1+2i
1+2i
.
i-2(i是虚数单位)的共轭复数是
-i-2
-i-2
.
设i是虚数单位,则
(1-i)
3
(1+i)
2
=( )
A.1一i
B.一l+i
C.1+i
D.一1一i
关 闭
试题分类
高中
数学
英语
物理
化学
生物
地理
初中
数学
英语
物理
化学
生物
地理
小学
数学
英语
其他
阅读理解答案
已回答习题
未回答习题
题目汇总
试卷汇总
练习册解析答案