题目内容
如图,椭圆(1)若M是AN的中点,求证:MA⊥MF.
(2)过A,F,N三点的圆与y轴交于P,Q两点,求|PQ|的范围.
【答案】分析:(1)欲证MA⊥MF,只需证明
,分别求出
,
的坐标,再用向量的数量积的坐标运算计算即可.
(2)欲求|PQ|的范围,需先将|PQ|用某个参数表示,再求最值,可先找到圆心坐标和半径,再利用圆中半径,半弦,弦心距组成的直角三角形,得到用参数表示的|PQ|,再用均值不等式求范围.
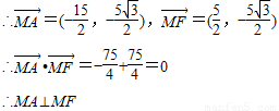
解答:解:(1)由题意得A(-6,0),F(4,0),xN=9∴
又M点在椭圆上,且在x轴上方,得

(2)设N(9,t),其中t>0,∵圆过A,F,N三点,
∴设该圆的方程为x2+y2+Dx+Ey+F=0,有
解得
∴圆心为
,半径r=
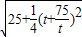
∴
,
∵t>0∴
,当且仅当
,即
时取“=”
∴
,∴|PQ|的取值范围是
点评:本题考查了椭圆与圆之间的关系,其中圆中弦长的求法必须掌握.
(2)欲求|PQ|的范围,需先将|PQ|用某个参数表示,再求最值,可先找到圆心坐标和半径,再利用圆中半径,半弦,弦心距组成的直角三角形,得到用参数表示的|PQ|,再用均值不等式求范围.
解答:解:(1)由题意得A(-6,0),F(4,0),xN=9∴
又M点在椭圆上,且在x轴上方,得
(2)设N(9,t),其中t>0,∵圆过A,F,N三点,
∴设该圆的方程为x2+y2+Dx+Ey+F=0,有
解得
∴圆心为
∴
∵t>0∴
∴
点评:本题考查了椭圆与圆之间的关系,其中圆中弦长的求法必须掌握.
练习册系列答案
相关题目