题目内容
设a∈R,函数 f (x)=x2+2a|x-1|,x∈R.(1)讨论函数f (x)的奇偶性;
(2)求函数f (x)的最小值.
【答案】分析:(1)第一问考查函数的奇偶性,当a=0时,利用f(-x)=f(x)在R上恒成立,即可求得函数是偶函数;当a≠0时,用特殊值法判断函数不是奇函数又不是偶函数;
(2)第二问是求最值的题目,先判断函数的单调性再求最值:分别求出分段函数的对称轴,再利用对a进行分类讨论:a≥1时; a<1时,通过函数的单调性,求出函数的最小值.
解答:解:∵f (x)=x2+2 a|x-1|,x∈R.
(1)当a=0时,f (x)=x2,函数是偶函数;当a≠0时函数非奇非偶函数.…(2分)
因为f(1)=1,f(-1)=1+4a≠f(1),即a≠0时函数不是偶函数;…(3分)
当a≠-
时f(-1)=1+4a≠-f(1),函数不是奇函数;当a=-
时,
f(x)=x2-|x-1|,f(2)=3,f(-2)=1,f(-2)≠-f(2),所以函数不是奇函数.…(5分)
综上,当a=0时,f (x)=x2,函数是偶函数;当a≠0时函数非奇非偶函数.
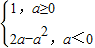
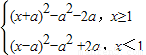
(2)f (x)=
=
…(7分)
1° a≥1时,x≥1时,f (x)≥x2≥1=f (1)⇒f (x)min=1…(8分)
x<1时,对称轴 x=a>1⇒f (x) 在 (-∞,1)上为减函数⇒f (x)>f (1)=1
综上,a≥1时,f (x)min=1…(10分)
2° a<1时,若 x<1,f (x)min=f (a)=-a2+2a=2a-a2…(11分)
而 x≥1时,f (x)min≥-a2-2a>-a2>2a-a2…(12分)
∴a<1时,f (x)min=2a-a2
∴f (x)min=
…(13分).
点评:本小题主要考查带绝对值的函数、二次函数的性质、函数奇偶性的应用、不等式的解法等基础知识,考查运算求解能力与转化思想,考查二次函数的最值的求法,考查分类讨论思想,计算能力.本题是中档题,
(2)第二问是求最值的题目,先判断函数的单调性再求最值:分别求出分段函数的对称轴,再利用对a进行分类讨论:a≥1时; a<1时,通过函数的单调性,求出函数的最小值.
解答:解:∵f (x)=x2+2 a|x-1|,x∈R.
(1)当a=0时,f (x)=x2,函数是偶函数;当a≠0时函数非奇非偶函数.…(2分)
因为f(1)=1,f(-1)=1+4a≠f(1),即a≠0时函数不是偶函数;…(3分)
当a≠-
f(x)=x2-|x-1|,f(2)=3,f(-2)=1,f(-2)≠-f(2),所以函数不是奇函数.…(5分)
综上,当a=0时,f (x)=x2,函数是偶函数;当a≠0时函数非奇非偶函数.
(2)f (x)=
1° a≥1时,x≥1时,f (x)≥x2≥1=f (1)⇒f (x)min=1…(8分)
x<1时,对称轴 x=a>1⇒f (x) 在 (-∞,1)上为减函数⇒f (x)>f (1)=1
综上,a≥1时,f (x)min=1…(10分)
2° a<1时,若 x<1,f (x)min=f (a)=-a2+2a=2a-a2…(11分)
而 x≥1时,f (x)min≥-a2-2a>-a2>2a-a2…(12分)
∴a<1时,f (x)min=2a-a2
∴f (x)min=
点评:本小题主要考查带绝对值的函数、二次函数的性质、函数奇偶性的应用、不等式的解法等基础知识,考查运算求解能力与转化思想,考查二次函数的最值的求法,考查分类讨论思想,计算能力.本题是中档题,
练习册系列答案
相关题目