题目内容


已知函数 。 (1)求函数的定义域和值域;

(2)设为实数),求时的最大值

(3)对(2)中,若所有的实数恒成立,求实数的取值范围。


解:由1+x≥0且1-x≥0,得-1≤x≤1,所以定义域为 …………2分

≥0 得值域为 …………4分

2)因为

,则

()+t= …………6分

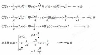
由题意知g(a)即为函数的最大值。

注意到直线是抛物线的对称轴。…………7分

因为a<0时,函数y=m(t), 的图象是开口向下的抛物线的一段,

(3)易得, ………14分

恒成立,即要使恒成立,…………15分

,令,对所有的成立,

只需 …17分求出m的取值范围是.  …………18分


练习册系列答案
相关题目

违法和不良信息举报电话:027-86699610 举报邮箱:58377363@163.com

精英家教网