题目内容
已知函数(1)求f(x)的最小正周期;
(2)若将f(x)的图象向右平移
【答案】分析:(1)利用二倍角公式、诱导公式、两角和的正弦函数化为一个角的一个三角函数的形式,即可求f(x)的最小正周期;
(2)将f(x)的图象向右平移
个单位,求出函数g(x)的解析式,然后在区间[0,π]上的最大值和最小值.
解答:解:(1)
=
(2分)
=
=
.(4分)
所以f(x)的最小正周期为2π.(6分)
(2)∵将f(x)的图象向右平移
个单位,得到函数g(x)的图象,
∴
=
.(8分)
∵x∈[0,π]时,
,(10分)
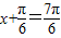
∴当
,即
时,
,g(x)取得最大值2.(11分)
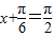
当
,即x=π时,
,g(x)取得最小值-1.(13分)
点评:本小题主要考查了三角函数中诱导公式、两角和与差的正余弦公式、二倍角公式、三角函数的性质和图象,以及图象变换等基础知识,考查了化归思想和数形结合思想,考查了运算能力.
(2)将f(x)的图象向右平移
解答:解:(1)
=
所以f(x)的最小正周期为2π.(6分)
(2)∵将f(x)的图象向右平移
∴
∵x∈[0,π]时,
∴当
当
点评:本小题主要考查了三角函数中诱导公式、两角和与差的正余弦公式、二倍角公式、三角函数的性质和图象,以及图象变换等基础知识,考查了化归思想和数形结合思想,考查了运算能力.
练习册系列答案
相关题目