题目内容
若直线y=x+t与椭圆
【答案】分析:直线方程代入椭圆方程,利用韦达定理及弦长公式,可求|AB|,从而可求|AB|的最大值.
解答:解:以y=x+t代入
,并整理得5x2+8tx+4t2-4=0①
因为直线与椭圆相交,则△=64t2-20(4t2-4)>0,…(3分)
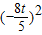
所以t2<5,即
,…(3分)
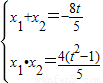
设A(x1,y1),B(x2,y2),则A(x1,x1+t),B(x2,x2+t),且x1,x2是方程①的两根.由韦达定理可得:
,…(6分)
所以,弦长|AB|2=
+
=2
=2[
-4x1•x2]=2[
]…(9分)
所以|AB|=
,
所以当t=0时,|AB|取最大值为
.…(12分)
点评:本题考查直线与椭圆的位置关系,考查韦达定理的运用,正确计算弦长是关键.
解答:解:以y=x+t代入
因为直线与椭圆相交,则△=64t2-20(4t2-4)>0,…(3分)
所以t2<5,即
设A(x1,y1),B(x2,y2),则A(x1,x1+t),B(x2,x2+t),且x1,x2是方程①的两根.由韦达定理可得:
所以,弦长|AB|2=
所以|AB|=
所以当t=0时,|AB|取最大值为
点评:本题考查直线与椭圆的位置关系,考查韦达定理的运用,正确计算弦长是关键.
练习册系列答案
相关题目