搜索
题目内容
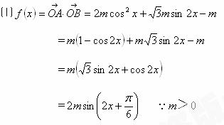
(12分)已知
,向量
,
,
, 其中
。
(1)求
的单调增区间;
(2)当
时,
的最大值为5,求
的值。
试题答案
相关练习册答案
解析
练习册系列答案
创意课堂中考总复习指导系列答案
举一反三完全训练系列答案
魔力导学案系列答案
绩优中考系列答案
课堂追踪系列答案
活力英语课课练与单元检测系列答案
名师课时计划系列答案
全优AB卷系列答案
品优课堂系列答案
核心课堂武汉大学出版社系列答案
相关题目
(2009•成都二模)已知空间向量
OA
=(1,K,0)(k∈Z)
,
|
OA
| ≤3
,
OB
=(3,1,0)
,O为坐标原点,给出以下结论:①以OA、OB为邻边的平行四边形OACB中,当且仅当k=2时,
|
OC
|
取得最小值;②当k=2时,到A和点B等距离的动点P(x,y,z)的轨迹方程为4x-2y-5=0,其轨迹是一条直线;③若
OP
=(0,0,1)
,则三棱锥O-ABP体积的最大值为
7
6
;④若
OP
=(0,0,1),则三棱锥O-ABP各个面都为直角三角形的概率为
2
5
.其中,所有正确结论的应是
④
④
.
(2012•珠海二模)已知单位向量
a
,
b
,其夹角为
π
3
,则
|
a
+
b
|
=( )
A.3
B.
3
C.2
D.
2
已知函数y=-2x
2
+8x-9,其图象按a平移后,得到的抛物线的顶点在y轴上,且在x轴上截得的弦长为4,求平移后的函数解析式及向量a的坐标.
已知单位向量
,
,其夹角为
,则
=( )
A.3
B.
C.2
D.
已知空间向量
,
,
,O为坐标原点,给出以下结论:①以OA、OB为邻边的平行四边形OACB中,当且仅当k=2时,
取得最小值;②当k=2时,到A和点B等距离的动点P(x,y,z)的轨迹方程为4x-2y-5=0,其轨迹是一条直线;③若
,则三棱锥O-ABP体积的最大值为
;④若
=(0,0,1),则三棱锥O-ABP各个面都为直角三角形的概率为
.其中,所有正确结论的应是
.
关 闭
试题分类
高中
数学
英语
物理
化学
生物
地理
初中
数学
英语
物理
化学
生物
地理
小学
数学
英语
其他
阅读理解答案
已回答习题
未回答习题
题目汇总
试卷汇总
练习册解析答案