题目内容
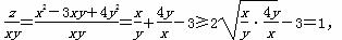
设正实数x,y,z满足x2-3xy+4y2-z=0,则当
取得最小值时,x+2y-z的最大值为________.
2
当且仅当x=2y时等号成立,
因此z=4y2-6y2+4y2=2y2,
所以x+2y-z=4y-2y2=-2(y-1)2+2≤2.
练习册系列答案
相关题目
题目内容
设正实数x,y,z满足x2-3xy+4y2-z=0,则当
取得最小值时,x+2y-z的最大值为________.
2
当且仅当x=2y时等号成立,
因此z=4y2-6y2+4y2=2y2,
所以x+2y-z=4y-2y2=-2(y-1)2+2≤2.