题目内容
(1)已知0<x<
,求y=2x-5x2的最大值;
(2)求函数y=
(x>-1)的最小值.
解 (1)y=2x-5x2=x(2-5x)=
·5x·(2-5x).
∵0<x<
,∴5x<2,2-5x>0,
∴5x(2-5x)≤
=1,
∴y≤
,当且仅当5x=2-5x,即x=
时,ymax=
.
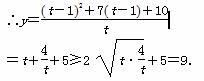
(2)设x+1=t,则x=t-1(t>0),
当且仅当t=
,即t=2,且此时x=1时,取等号,
∴ymin=9.
练习册系列答案
相关题目
题目内容
(1)已知0<x<
,求y=2x-5x2的最大值;
(2)求函数y=
(x>-1)的最小值.
解 (1)y=2x-5x2=x(2-5x)=
·5x·(2-5x).
∵0<x<
,∴5x<2,2-5x>0,
∴5x(2-5x)≤
=1,
∴y≤
,当且仅当5x=2-5x,即x=
时,ymax=
.
(2)设x+1=t,则x=t-1(t>0),
当且仅当t=
,即t=2,且此时x=1时,取等号,
∴ymin=9.