题目内容
设双曲线C:(1)若直线m与x轴正半轴的交点为T,且
(2)求直线A1P与直线A2Q的交点M的轨迹E的方程;
(3)过点F(1,0)作直线l与(2)中的轨迹E交于不同的两点A、B,设
【答案】分析:(1)设出P、Q的坐标,求得向量的坐标,利用
=1,P(x,y)在双曲线上,即可求得结论;
(2)利用三点共线建立方程,利用P(x,y)在双曲线上,即可求得轨迹方程;
(3)用坐标表示
,利用韦达定理,求得模长,从而可得函数关系式,进而可求其范围.
解答:解:(1)由题,得A1(-
,0),A2(
,0),
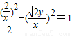
设P(x,y),Q(x,-y),则
,
由
=1,可得
…①
又P(x,y)在双曲线上,则
…②
联立①、②,解得x=±2
由题意,x>0,∴x=2
∴点T的坐标为(2,0)
(2)设直线A1P与直线A2Q的交点M的坐标为(x,y)
由A1、P、M三点共线,得
…③
由A2、Q、M三点共线,得
…④
联立③、④,解得x=
,y=
∵P(x,y)在双曲线上,∴
∴轨迹E的方程为
(x≠0,y≠0)
(3)由题意直线l的斜率不为0.故可设直线l的方程为x=ky+1代入
中,得(k2+2)y2+2ky-1=0
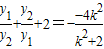
设A(x1,y1),B(x2,y2),则由根与系数的关系,得y1+y2=
…⑤y1y2=
…⑥
∵
,∴有
(λ<0)
将⑤式平方除以⑥式,得
,即
由λ∈[-2,-1],可得
∴
,∴
∵
=(x1+x2-4,y1+y2)
∴
=(x1+x2-4)2+(y1+y2)2=16-
+
令t=
,∵
,∴
,即t∈[
,
]
∴
=f(t)=8t2-28t+16=8(t-
)2-
而t∈[
,
],∴f(t)∈[4,
]
∴|
+
|∈[2,
].
点评:本题考查轨迹方程,考查向量知识的运用,考查直线与椭圆的位置关系,考查韦达定理的运用,考查学生的计算能力,属于中档题.
(2)利用三点共线建立方程,利用P(x,y)在双曲线上,即可求得轨迹方程;
(3)用坐标表示
解答:解:(1)由题,得A1(-
设P(x,y),Q(x,-y),则
由
又P(x,y)在双曲线上,则
联立①、②,解得x=±2
由题意,x>0,∴x=2
∴点T的坐标为(2,0)
(2)设直线A1P与直线A2Q的交点M的坐标为(x,y)
由A1、P、M三点共线,得
由A2、Q、M三点共线,得
联立③、④,解得x=
∵P(x,y)在双曲线上,∴
∴轨迹E的方程为
(3)由题意直线l的斜率不为0.故可设直线l的方程为x=ky+1代入
设A(x1,y1),B(x2,y2),则由根与系数的关系,得y1+y2=
∵
将⑤式平方除以⑥式,得
由λ∈[-2,-1],可得
∴
∵
∴
令t=
∴
而t∈[
∴|
点评:本题考查轨迹方程,考查向量知识的运用,考查直线与椭圆的位置关系,考查韦达定理的运用,考查学生的计算能力,属于中档题.
练习册系列答案
相关题目