ÌâÄ¿ÄÚÈÝ
Èçͼ£¬Á½¸ö¹¤³§A£¬BÏà¾à2km£¬µãOΪABµÄÖе㣬ÏÖÒªÔÚÒÔOΪԲÐÄ£¬2kmΪ°ë¾¶µÄÔ²»¡MNÉϵÄijһµãP´¦½¨Ò»´±°ì¹«Â¥£¬ÆäÖÐMA¡ÍAB£¬NB¡ÍAB¡£¾Ý²âËã´Ë°ì¹«Â¥Êܹ¤³§AµÄ¡°ÔëÒôÓ°Ïì¶È¡±Óë¾àÀëAPµÄƽ·½³É·´±È£¬±ÈÀýϵÊýÊÇ1£¬°ì¹«Â¥Êܹ¤³§BµÄ¡°ÔëÒôÓ°Ïì¶È¡± Óë¾àÀëBPµÄƽ·½Ò²³É·´±È£¬±ÈÀýϵÊýÊÇ4£¬°ì¹«Â¥ÊÜA£¬BÁ½³§µÄ¡°×ÜÔëÒôÓ°Ïì¶È¡±yÊÇÊÜA£¬BÁ½³§¡°ÔëÒôÓ°Ïì¶È¡±µÄºÍ£¬ÉèAPΪxkm¡£
£¨¢ñ£©Çó¡°×ÜÔëÒôÓ°Ïì¶È¡±y¹ØÓÚxµÄº¯Êý¹ØÏµ£¬²¢Çó³ö¸Ãº¯ÊýµÄ¶¨ÒåÓò£»
£¨¢ò£©µ±APΪ¶àÉÙʱ£¬¡°×ÜÔëÒôÓ°Ïì¶È¡±×îС£¿
£¨¢ñ£©Çó¡°×ÜÔëÒôÓ°Ïì¶È¡±y¹ØÓÚxµÄº¯Êý¹ØÏµ£¬²¢Çó³ö¸Ãº¯ÊýµÄ¶¨ÒåÓò£»
£¨¢ò£©µ±APΪ¶àÉÙʱ£¬¡°×ÜÔëÒôÓ°Ïì¶È¡±×îС£¿
½â£º£¨¢ñ£©Á¬½ÓOP£¬Éè
Ôò
£¬
ÔÚ¡÷AOPÖУ¬ÓÉÓàÏÒ¶¨ÀíµÃ
£¬
ÔÚ¡÷BOPÖУ¬ÓÉÓàÏÒ¶¨ÀíµÃ
£¬
¡à
£¬Ôò
£¬
¡ß
£¬Ôò
£¬¡à
£¬¡à
£¬
¡à
¡£
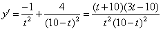
£¨¢ò£©Áî
£¬
¡à
£¬
ÓÉ
£¬µÃ
»òt=-10£¨ÉáÈ¥£©£¬
µ±
£¬º¯ÊýÔÚ
Éϵ¥µ÷µÝ¼õ£»
µ±
£¬º¯ÊýÔÚ
Éϵ¥µ÷µÝÔö£»
¡àµ±
ʱ£¬¼´
ʱ£¬º¯ÊýÓÐ×îСֵ£¬Ò²¼´µ±APΪ
£¨km£©Ê±£¬¡°×ÜÔëÒôÓ°Ïì¶È¡±×îС¡£
Á·Ï°²áϵÁдð°¸
Ïà¹ØÌâÄ¿