题目内容
已知f(x)=ln(ax2-1),且f′(1)=4,则 a= .
【答案】分析:先根据复合函数的求导法则对函数求导可得
,再把x=1代入可求a的值
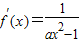
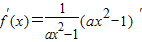
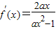
解答:解:∵
=
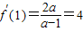
∴
∴a=2
故答案为:2.
点评:本题主要考查了复合函数的求导法则的应用,解题的关键是要对函数求导,解题中容易出现求导错误:
.
解答:解:∵
∴
∴a=2
故答案为:2.
点评:本题主要考查了复合函数的求导法则的应用,解题的关键是要对函数求导,解题中容易出现求导错误:
练习册系列答案
相关题目