题目内容
将函数y=log2x的图象上每一点的纵坐标不变,横坐标变为原来的m(m>0)倍,得到图象C,若将y=log2x的图象向上平移2个单位,也得到图象C,则m= .
【答案】分析:将函数y=log2x的图象上每一点的纵坐标不变,横坐标变为原来的m(m>0)倍,得到函数y=
,若将y=log2x的图象向上平移2个单位,得到函数y=log2x+2=log2(4x),由
,能求出m的值.
解答:解:将函数y=log2x的图象上每一点的纵坐标不变,横坐标变为原来的m(m>0)倍,得到函数y=
,
若将y=log2x的图象向上平移2个单位,得到函数y=log2x+2=log2(4x),
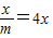
∵
,
∴
,
解得m=
.
故答案为:
.
点评:本题考查对数函数的图象与性质的灵活运用,是基础题.解题时要认真审题,注意伸缩变换和平移变换的性质的灵活运用.
解答:解:将函数y=log2x的图象上每一点的纵坐标不变,横坐标变为原来的m(m>0)倍,得到函数y=
若将y=log2x的图象向上平移2个单位,得到函数y=log2x+2=log2(4x),
∵
∴
解得m=
故答案为:
点评:本题考查对数函数的图象与性质的灵活运用,是基础题.解题时要认真审题,注意伸缩变换和平移变换的性质的灵活运用.
练习册系列答案
相关题目
将函数y=log2x的图象按向量
平移后,得到y=log2
的图象,则( )
| a |
| x+1 |
| 4 |
A、
| ||
B、
| ||
C、
| ||
D、
|