题目内容


如图,长方体AB=16,BC=10,,点E,F分别在 上,过点E,F的平面与此长方体的面相交,交线围成一个正方形.

(I)在图中画出这个正方形(不必说明画法与理由);

(II)求平面把该长方体分成的两部分体积的比值.

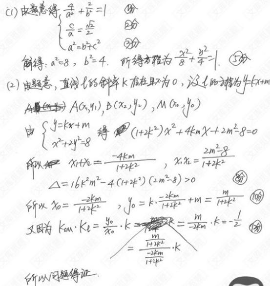
已知椭圆 的离心率为,点C上.

(I)求C的方程;

(II)直线l不经过原点O,且不平行于坐标轴,lC有两个交点A,B,线段AB中点为M,证明:直线OM的斜率与直线l的斜率乘积为定值.

练习册系列答案
相关题目

违法和不良信息举报电话:027-86699610 举报邮箱:58377363@163.com

精英家教网