题目内容
(12分) 已知函数.
(1)求的表达式;
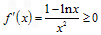
(2)判断的单调性;
已知函数.
(1)求函数的定义域,并判断它的单调性(不用证明);
(2)若的反函数为,证明方程有解,且有唯一解;
(3)解关于的不等式.
本题满分10分)
已知函数
(1)判断的单调性并用定义证明;
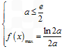
(2)设,若对任意,存在(),使,求实数的最大值.
(1)求的定义域.
(2) 判断它的奇偶性并说明理由.
(3) 判断它在区间上的单调性并说明理由.
(本小题满分14分)
已知函数,
(1)求的定义域;
(2)求的单调区间并指出其单调性;
(3)求的最大值,并求取得最大值时的的值。