题目内容
已知二次函数f(x)=x2-(m+2)x+m+2(x∈R)同时满足:①不等式f(x)≤0的解集有且只有一个元素;②在定义域内存在x1,x2,使得x1+x2=0,但f(x1)≠f(x2)。设数列{an}的前n项和Sn=f(n)。
(1)求f(x)的表达式;
(2)求数列{an}的通项公式。
(1)求f(x)的表达式;
(2)求数列{an}的通项公式。
解:(1)∵f(x)≤0的解集有且只有一个元素,
∴Δ=[-(m+2)]2-4(m+2)=0
m=-2或m=2
当m=-2时,函数f(x)=x2是一个偶函数,故不存在x1,x2,使得x1+x2=0,且f(x1)≠f(x2)
当m=2时,函数f(x)=x2-4x+4,在定义域内存在x1,x2,使得x1+x2=0,且f(x1)≠f(x2),
故f(x)=x2-4x+4。
(2)由(1)可知Sn=n2-4n+4,
当n=1时,a1=S1=1,
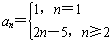
当n≥2时,an=Sn-Sn-1=(n2-4n+4)-[(n-1)2-4(n-1)+4]=2n-5
∴
。
∴Δ=[-(m+2)]2-4(m+2)=0
当m=-2时,函数f(x)=x2是一个偶函数,故不存在x1,x2,使得x1+x2=0,且f(x1)≠f(x2)
当m=2时,函数f(x)=x2-4x+4,在定义域内存在x1,x2,使得x1+x2=0,且f(x1)≠f(x2),
故f(x)=x2-4x+4。
(2)由(1)可知Sn=n2-4n+4,
当n=1时,a1=S1=1,
当n≥2时,an=Sn-Sn-1=(n2-4n+4)-[(n-1)2-4(n-1)+4]=2n-5
∴
练习册系列答案
相关题目