题目内容
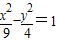
双曲线A.
B.
C.
D.
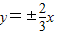
【答案】分析:由双曲线的方程,算出a=3、b=2,利用渐近线方程的公式即可算出该双曲线的渐近线方程.
解答:解:∵双曲线
中,a=3,b=2
∴双曲线的渐近线方程y=
,即
故选:A
点评:本题给出双曲线的方程,求它的渐近线.着重考查了双曲线的定义与简单几何性质等知识,属于基础题.
解答:解:∵双曲线
∴双曲线的渐近线方程y=
故选:A
点评:本题给出双曲线的方程,求它的渐近线.着重考查了双曲线的定义与简单几何性质等知识,属于基础题.
练习册系列答案
相关题目