题目内容
已知正方体
的棱长为1,动点P在正方体
表面上运动,且![]()
,记点P的轨迹长度为
,则
.
【答案】
![]()
【解析】
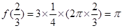
试题分析:由定义可知当
,点
的轨迹是三个半径为
的
圆周长,此时点
分别在三个侧面上运动,所以
.
![]()
考点:轨迹问题.
练习册系列答案
相关题目
题目内容
已知正方体
的棱长为1,动点P在正方体
表面上运动,且![]()
,记点P的轨迹长度为
,则
.
![]()
【解析】
试题分析:由定义可知当
,点
的轨迹是三个半径为
的
圆周长,此时点
分别在三个侧面上运动,所以
.
![]()
考点:轨迹问题.