题目内容
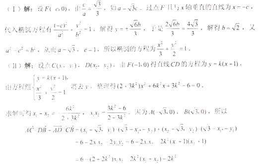
设椭圆
的左焦点为F, 离心率为
, 过点F且与x轴垂直的直线被椭圆截得的线段长为
.
(Ⅰ) 求椭圆的方程;
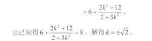
(Ⅱ) 设A, B分别为椭圆的左右顶点, 过点F且斜率为k的直线与椭圆交于C, D两点. 若
, 求k的值.
练习册系列答案
相关题目
(本小题满分12分)
设椭圆
的左焦点为F,O为坐标原点,已知椭圆中心关于直线
对称点恰好落在椭圆的左准线上。
(1)求过O、F并且与椭圆右准线l相切的圆的方程;
|
题目内容
设椭圆
的左焦点为F, 离心率为
, 过点F且与x轴垂直的直线被椭圆截得的线段长为
.
(Ⅰ) 求椭圆的方程;
(Ⅱ) 设A, B分别为椭圆的左右顶点, 过点F且斜率为k的直线与椭圆交于C, D两点. 若
, 求k的值.
(本小题满分12分)
设椭圆
的左焦点为F,O为坐标原点,已知椭圆中心关于直线
对称点恰好落在椭圆的左准线上。
(1)求过O、F并且与椭圆右准线l相切的圆的方程;
|