题目内容
如图,圆锥形封闭容器,高为h,圆锥内水面高为h1,h1=
【答案】分析:圆锥正置与倒置时,水的体积不变,而水面是平行于底面的平面,此平面截得的小圆锥与原圆锥成相似体,它们的体积之比为对应高的立方比,由此结合题中数据加以计算,即可得到h2的大小.
解答:
解:∵圆锥内水面高为h1满足h1=
,
∴两个圆锥体积之比为
即水的体积与容器体积之比为1-
=
,
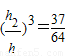
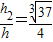
由此可得:倒置后
∴
,得
,即h2=
h.
点评:本题给出密闭圆锥容器,给出里面的一定量的水,已知正放的情况下水面的高度,求倒置后水面的高度.着重考查了圆锥的体积公式、圆锥的平行截面的性质及其应用等知识,属于中档题.
解答:
∴两个圆锥体积之比为
即水的体积与容器体积之比为1-
由此可得:倒置后
∴
点评:本题给出密闭圆锥容器,给出里面的一定量的水,已知正放的情况下水面的高度,求倒置后水面的高度.着重考查了圆锥的体积公式、圆锥的平行截面的性质及其应用等知识,属于中档题.
练习册系列答案
相关题目