题目内容


已知函数f(x)=λsin ωxλcos ωx(λ>0,ω>0)的部分图象如图所示,其中点A为最高点,点BC为图象与x轴的交点,在△ABC中,角ABC的对边分别为abcbc,且满足(2ca)cos Bbcos A=0.

(1)求△ABC的面积;

(2)求函数f(x)的单调递增区间.


解:(1)由(2ca)cos Bbcos A=0,得B.

在△ABC中,BC边上的高hcsin BBC=2ccos B=3,

SABC×BC×h.

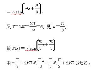
(2)f(x)=λsin ωxλcos ωx

可得6kx≤6k(k∈Z).

所以函数f(x)的单调递增区间为


练习册系列答案
相关题目

违法和不良信息举报电话:027-86699610 举报邮箱:58377363@163.com

精英家教网