搜索
题目内容
求S
n
=x+2x
2
+3x
3
+…+nx
n
。
试题答案
相关练习册答案
解:当x=0时,
;
当x=1时,
;
当x≠0且x≠1时,
, ①
, ②
①-②,得
,
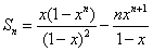
所以,
。
练习册系列答案
学考教程系列丛书快乐假期暑系列答案
暑假高效作业系列答案
惠宇文化同步学典系列答案
小学零距离期末暑假衔接系列答案
快乐假期培优衔接暑假电子科技大学出版社系列答案
新思维新世界新假期我的暑假我做主系列答案
暑假生活新疆教育出版社系列答案
钟书金牌暑假作业吉林教育出版社系列答案
暑假作业深圳报业集团出版社系列答案
暑假生活四川大学出版社系列答案
相关题目
已知函数f(x)=x
2
+ax+b(a,b∈R),不等式|f(x)|≤|2x
2
+4x-30|对?x∈R恒成立,数列{a
n
}满足:
a
1
=
1
2
,
2
a
n
=f(
a
n-1
)+1
5
(n≥2,n∈
N
*
)
,数列{b
n
}满足:
b
n
=
1
a
n
+2
(n∈
N
*
)
.
(Ⅰ)求a,b的值;
(Ⅱ)设数列{b
n
}的前n和为S
n
,前n的积为T
n
,求
S
n
+
2
n+1
T
n
的值.
已知函数
f(x)=
2
x
2
+1
(x>0)
,数列{a
n
}满足a
1
=1,当n≥2时,a
n
=f(a
n-1
)
(1)求a
n
;
(2)若
b
n
=
2
n
a
n
+
a
n+1
,若S
n
=b
1
+b
2
+…+b
n
,求
lim
n→∞
b
n
•
S
n
(
a
n
)
2
.
已知数列{a
n
}的前n项和为S
n
,对任意n∈N*,点(n,S
n
)都在函数f(x)=2x
2
-x的图像上。
(1)求数列{a
n
}的通项公式;
(2)设
,且数列{b
n
}是等差数列,求非零常数p的值。
已知函数
f(x)=
2
x
2
+1
(x>0)
,数列{a
n
}满足a
1
=1,当n≥2时,a
n
=f(a
n-1
)
(1)求a
n
;
(2)若
b
n
=
2
n
a
n
+
a
n+1
,若S
n
=b
1
+b
2
+…+b
n
,求
lim
n→∞
b
n
•
S
n
(
a
n
)
2
.
关 闭
试题分类
高中
数学
英语
物理
化学
生物
地理
初中
数学
英语
物理
化学
生物
地理
小学
数学
英语
其他
阅读理解答案
已回答习题
未回答习题
题目汇总
试卷汇总
练习册解析答案