搜索
题目内容
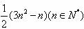
对于实数x,用[x]表示不超过x的最大整数,则函数f(x)=[x]称为高斯函数或取整函数.若an=f(
),
为数列{an}的前n项的和,则S
3n
=____
试题答案
相关练习册答案
练习册系列答案
文言文图解注译系列答案
课时配套练系列答案
全品高考复习方案系列答案
创意课堂中考总复习指导系列答案
举一反三完全训练系列答案
魔力导学案系列答案
绩优中考系列答案
课堂追踪系列答案
活力英语课课练与单元检测系列答案
名师课时计划系列答案
相关题目
对于实数x,用[x]表示不超过x的最大整数,则函数f(x)=[x]称为高斯函数或取整函数.若a
n
=f(
n
3
),n∈N
*
,S
n
为数列{a
n
}的前n项和,则S
3n
=
.
对于实数x,用[x]表示不超过x的最大整数,如[0.32]=0,[5.68]=5.若n为正整数,
a
n
=[
n
4
]
,S
n
为数列{a
n
}的前n项和,则S
4n
=
(2n-1)n
(2n-1)n
.
对于实数x,用[x]表示不超过x的最大整数,如[0.32]=0,[5.68]=5.若n为正整数,
a
n
=[
n
4
]
,S
n
为数列{a
n
}的前n项和,则S
8
=
6
6
、S
4n
=
2n
2
-n
2n
2
-n
.
对于实数x,用[x]表示不超过x的最大整数,如[0.98]=0,[1.2]=1,若n∈N
*
,a
n
=
[
n
4
]
,S
n
为数列{a
n
}的前n项和,则S
4n
为( )
A.2n
2
-n
B.2n
2
-2n
C.2n
2
+n
D.2n
2
+2n
对于实数x,用[x]表示不超过x的最大整数,如[0.3]=0,[5.6]=5.若n∈N
*
,
a
n
=[
n
4
]
,S
n
为数列{a
n
}的前n项和,则S
8
=
;S
4n
=
.
关 闭
试题分类
高中
数学
英语
物理
化学
生物
地理
初中
数学
英语
物理
化学
生物
地理
小学
数学
英语
其他
阅读理解答案
已回答习题
未回答习题
题目汇总
试卷汇总
练习册解析答案