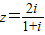
题目内容
已知A.1
B.
C.
D.2
【答案】分析:利用两个复数代数形式的乘除法法则化简复数z为 1+i,由此求得|z|.
解答:解:∵已知
=
=i(1-i)=1+i,
∴|z|=
,
故选B.
点评:本题主要考查复数的模的定义和求法,两个复数代数形式的乘除法法则,虚数单位i的幂运算性质,属于基础题.
解答:解:∵已知
∴|z|=
故选B.
点评:本题主要考查复数的模的定义和求法,两个复数代数形式的乘除法法则,虚数单位i的幂运算性质,属于基础题.
练习册系列答案
相关题目