搜索
题目内容
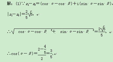
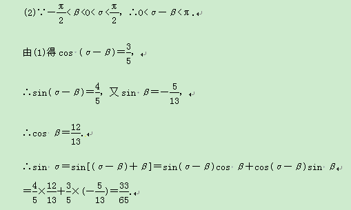
已知复数
试题答案
相关练习册答案
练习册系列答案
复习计划风向标寒系列答案
中考命题大解密阳光出版社系列答案
夺冠百分百高效复习系列答案
智乐文化中考真题汇编系列答案
考易通系列学业水平考试题系列答案
世纪金榜初中中考学业水平测试系列答案
智慧翔满格电课时作业本系列答案
考必胜3年中考2年模拟系列答案
寒假作业寒假快乐练西安出版社系列答案
贵州专版寒假作业吉林人民出版社系列答案
相关题目
已知复数z=(3i-1)i,则|z|=
10
10
.
已知复数(x-2)+yi(x,y∈R)的模为
3
,求
y
x
的最大值.
已知复数z满足
1-z
1+z
=i,则|1+z|等于
.
已知复数z满足:|z|=1+3i-z,
(1)求z并求其在复平面上对应的点的坐标;
(2)求
(1+i)
2
(3+4i)
2
2z
的共轭复数.
已知复数z=a+bi(a、b∈R),且满足
a
1-i
+
b
1-2i
=
5
3+i
,则复数z在复平面内对应的点位于第
四
四
象限.
关 闭
试题分类
高中
数学
英语
物理
化学
生物
地理
初中
数学
英语
物理
化学
生物
地理
小学
数学
英语
其他
阅读理解答案
已回答习题
未回答习题
题目汇总
试卷汇总
练习册解析答案