搜索
题目内容
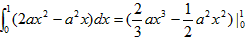
已知
,求f(a)的最大值。
试题答案
相关练习册答案
解:∵
∴
∴当
时,f(a)有最大值
。
练习册系列答案
精致小卷专为小科金卷100分系列答案
课课精练优学优练系列答案
奥数典型题举一反三系列答案
帮你学单元目标检测题AB卷系列答案
精彩练习就练这一本系列答案
名校调研期末冲刺系列答案
能力评价系列答案
唐印文化课时测评系列答案
小学霸系列答案
小学教学新思维检测卷快乐学习系列答案
相关题目
已知向量
a
=(sinx,1),
b
=(cosx,1)
.
(1)当
a
∥
b
时,求2co
s
2
x-sin2x
的值;
(2)求
f(x)=
a
•
b
的最小正周期和单调递增区间.
已知函数
f(x)=sinx(
3
cosx-sinx)
.
(Ⅰ)求函数f(x)的单调递减区间;
(Ⅱ)若A是锐角三角形△ABC的一个内角,求f(A)的最大值与最小值.
已知△ABC的面积S满足
4≤S≤4
3
,且
AB
•
AC
=-8.
(Ⅰ)求角A的取值范围;
(Ⅱ)若函数
f(x)=co
s
2
x
4
-2si
n
2
x
4
+3
3
sin
x
4
•cos
x
4
,求f(A)的最大值.
已知△ABC中,三条边a、b、c所对的角分别为A、B、C,且
bsinA=
3
acosB
.
(1)求角B的大小;
(2)若
f(x)=
3
sinxcosx+co
s
2
x
,求f(A)的最大值.
关 闭
试题分类
高中
数学
英语
物理
化学
生物
地理
初中
数学
英语
物理
化学
生物
地理
小学
数学
英语
其他
阅读理解答案
已回答习题
未回答习题
题目汇总
试卷汇总
练习册解析答案