搜索
题目内容
已知△ABC是边长为1的等边三角形,P为边BC上一点,满足
=2
,则
·
=
.
试题答案
相关练习册答案
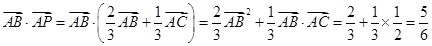
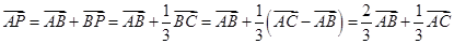
【答案】
【解析】
试题分析:
,于是
.
考点:平面向量基本运算.
练习册系列答案
名校课堂系列答案
西城学科专项测试系列答案
小考必做系列答案
小考实战系列答案
小考复习精要系列答案
小考总动员系列答案
小升初必备冲刺48天系列答案
68所名校图书小升初高分夺冠真卷系列答案
伴你成长周周练月月测系列答案
小升初金卷导练系列答案
相关题目
已知△ABC是边长为1的正三角形,点D、E分别是边AB、AC上的点,线段DE经过△ABC的中心G,
AD
=p
AB
,
AE
=q
AC
(0<m≤1,0<n≤1)则
1
p
+
1
q
等于( )
A、3
B、2
C、1.5
D、1
已知△ABC是边长为3,4,5的直角三角形,点P是此三角形内切圆上一动点,分别以PA、PB、PC为直径作圆,则这三个圆的面积之和的最大值与最小值的和为( )
A、12π
B、10π
C、8π
D、6π
已知△ABC是边长为2a的正三角形,那么它的斜二侧所画直观图△A′B′C′的面积为( )
A.
3
2
a
2
B.
3
4
a
2
C.
6
4
a
2
D.
6
a
2
已知△ABC是边长为2的等边三角形,D是BC边上的一点,且
BD
=
1
2
DC
,则
|
AD
-
BC
|
=
2
19
3
2
19
3
.
已知△ABC是边长为6的正三角形,求
AB
•
BC
=
.
关 闭
试题分类
高中
数学
英语
物理
化学
生物
地理
初中
数学
英语
物理
化学
生物
地理
小学
数学
英语
其他
阅读理解答案
已回答习题
未回答习题
题目汇总
试卷汇总
练习册解析答案