题目内容
椭圆
【答案】分析:首先根据椭圆的方程求出a和b的值,再由a,b,c之间的关系可得c,根据准线方程为x=±
求得答案.
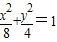
解答:解:因为椭圆的方程为:
,
所以a=2
,b=2,
由a,b,c之间的关系可得:c=2,
所以准线方程为x=±
=±
=±4.
故答案为:x=±4.
点评:本题主要考查了椭圆的简单性质.属基础题.
解答:解:因为椭圆的方程为:
所以a=2
由a,b,c之间的关系可得:c=2,
所以准线方程为x=±
故答案为:x=±4.
点评:本题主要考查了椭圆的简单性质.属基础题.
练习册系列答案
相关题目
椭圆4x2+y2=1的准线方程为( )
A、x=±
| ||||
B、x=±
| ||||
C、y=±
| ||||
D、y=±
|