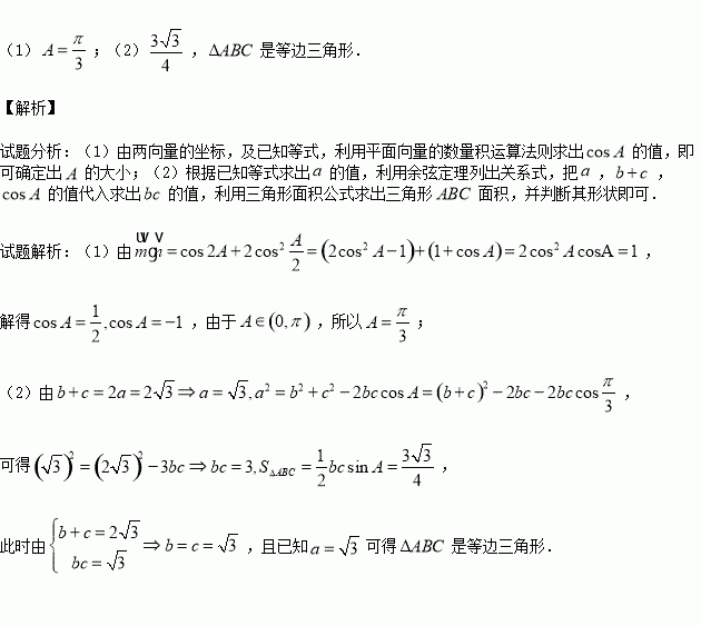
题目内容
中,所对的边为,,且.
(1)求的大小;
(2)若,求的面积并判断的形状.
函数是定义在实数集上的奇函数,且当时,成立,若,则大小关系( )
A. B.
C. D.
函数的零点所在区间是( )
A. B. C. D.
已知是上的奇函数,且时,,则的值为____________.
设函数,若当时,不等式恒成立,则实数的取值范围是( )
在中,内角,,所对的边分别为,,,且边上的高为,则的最大值为( )
C. D.4