题目内容

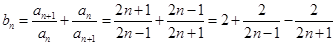
各项都为正数的数列,其前项的和为,且,若,且数列的前项的和为,则=           

 

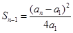
【答案】

【解析】

试题分析:本题涉及涉及到数列的前的关系,一般要用到关系式,由,所以,于是时,,化简得:,即,由于数列各项为正,故,又,即,因此数列是等差数列,公比为,所以

考点:的关系,裂项相消求和.

 

练习册系列答案
相关题目

违法和不良信息举报电话:027-86699610 举报邮箱:58377363@163.com

精英家教网