题目内容

湖南省环保研究所对长沙市中心每天环境放射性污染情况进行调查研究后,发现一天中环境综合放射性污染指数与时刻x的关系为,其中a是与气象有关的参数,且,若用每天的最大值作为当天的综合放射性污染指数,并记作.

(Ⅰ)令,求t的取值范围;

(Ⅱ)省政府规定,每天的综合放射性污染指数不得超过2,试问目前市中心的综合放射性污染指数是否超标?

 

【答案】

(Ⅰ) ;(Ⅱ) 当时不超标,当时超标.

【解析】

试题分析:(Ⅰ)由题意容易知最小值为0,然后由基本不等式得,从而可得t的取值范围;(Ⅱ)将转化为关于的函数.然后结合t的取值范围分段求出函数单调性,从而得到其最大值,即.再通过在中解不等式得到时不超标,当时超标的结论.

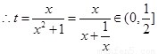
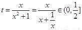
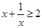
试题解析:(Ⅰ)当时,,当(当且仅当时取等号)

,故t的取值范围

(Ⅱ)当时,记

因为上递减,在上递增,且.

,解得.

所以当时不超标,当时超标.

考点:1.基本不等式;2.函数的单调性与最值;3.不等式组.

 

练习册系列答案
相关题目

违法和不良信息举报电话:027-86699610 举报邮箱:58377363@163.com

精英家教网