搜索
题目内容
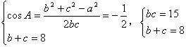
已知:在△ABC中,A=120°,a=7,b+c=8,
(1)求b,c的值;
(2)求sinB的值。
试题答案
相关练习册答案
解:(1)根据题意
,
解得:
;
(2)根据正弦定理
,
当
;
当
。
练习册系列答案
天利38套新课标全国中考试题精选系列答案
中考试题研究满分特训方案系列答案
中考总复习名师A计划系列答案
百题大过关系列答案
考向标初中毕业学业考试指导系列答案
初中复习指导系列答案
发现中考系列答案
高考总复习优化方案系列答案
山西新中考系列答案
中考精确制导系列答案
相关题目
已知:在△ABC中,a,b,c分别是角A、B、C所对的边,向量
m
=(2
3
sin
B
2
,
3
2
),
n
=(sin(
B
2
+
π
2
),1)且
m
•
n
=
3
.
(1)求角B的大小.
(2)若角B为锐角,a=6,S
△ABC
=6
3
,求b的值.
已知:在△ABC中,AB=c,BC=a,AC=b,AB上的中线CD=m,求证:a
2
+b
2
=
1
2
c
2
+2m
2
.
已知:在△ABC中,
AB
•
AC
<0
,△ABC的面积
S
△ABC
=
15
4
,
|
AB
|=3,|
AC
|=5
,则∠BAC=
.
已知:在△ABC中,AD为∠BAC的平分线,AD的垂直平分线EF与AD交于点E,与BC的延长线交于点F,若CF=4,BC=5,则DF=
6
6
.
已知:在△ABC中,A=120°,a=7,b+c=8.
(1)求b,c的值;
(2)求sinB的值.
关 闭
试题分类
高中
数学
英语
物理
化学
生物
地理
初中
数学
英语
物理
化学
生物
地理
小学
数学
英语
其他
阅读理解答案
已回答习题
未回答习题
题目汇总
试卷汇总
练习册解析答案