题目内容
选修4-4《坐标系与参数方程》选做题(本小题满分7分)
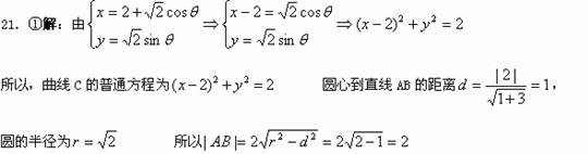
已知曲线C的参数方程是为参数),且曲线C与直线=0相交于两点A、B求弦AB的长。
答案
(选修4-4:坐标系与参数方程)
在直角坐标系xOy中,以原点O为极点,x轴的正半轴为极轴建立极坐标系.已知射线=与曲线(t为参数);相交于A,B两点,则线段AB的中点的直角坐标为________.
选修4-4:坐标系与参数方程
在直角坐标系xOy中,曲线C1的参数方程为(α为参数)M是C1上的动点,P点满足=2,P点的轨迹为曲线C2
(Ⅰ)求C2的方程
(Ⅱ)在以O为极点,x轴的正半轴为极轴的极坐标系中,射线=与C1的异于极点的交点为A,与C2的异于极点的交点为B,求|AB|.
A.选修4-1(几何证明选讲)
如图,是边长为的正方形,以为圆心,为半径的圆弧与以为直径的交于点,延长交于.(1)求证:是的中点;(2)求线段的长.
B.选修4-2(矩阵与变换)
已知矩阵,若矩阵属于特征值3的一个特征向量为,属于特征值-1的一个特征向量为,求矩阵.
C.选修4-4(坐标系与参数方程)
在极坐标系中,曲线的极坐标方程为,以极点为原点,极轴为轴的正半轴建立平面直角坐标系,直线的参数方程为(为参数),求直线被曲线所截得的弦长.
D.选修4—5(不等式选讲)
已知实数满足,求的最小值;
(选修4-4:坐标系与参数方程.)
已知直线经过点P(1,1),倾斜角,
(1)写出直线的参数方程
(2)设与圆x2+y2=4相交与两点A、B,求点P到A、B两点的距离之积