题目内容
已知直线l:y=2x-4被抛物线C:y2=2px(p>0)截得的弦长(Ⅰ)求抛物线C的方程;
(Ⅱ)若抛物线C的焦点为F,求三角形ABF的面积.
【答案】分析:(1)把直线方程与抛物线方程联立得到根与系数的关系,利用弦长公式即可得出p;
(2)利用点到直线的距离公式即可得出.
解答:解:(1)设A(x1,y1),B(x2,y2)
∵
而
即
∴p=2
故抛物线C的方程为:y2=4x.
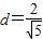
(2)由(1)知F(1,0),
∴点F到AB的距离
,
∴
=3.
点评:熟练掌握直线与抛物线相交问题转化为直线方程与抛物线方程联立得到根与系数的关系、弦长公式、点到直线的距离公式等是解题的关键.
(2)利用点到直线的距离公式即可得出.
解答:解:(1)设A(x1,y1),B(x2,y2)
∵
而
即
∴p=2
故抛物线C的方程为:y2=4x.
(2)由(1)知F(1,0),
∴点F到AB的距离
∴
点评:熟练掌握直线与抛物线相交问题转化为直线方程与抛物线方程联立得到根与系数的关系、弦长公式、点到直线的距离公式等是解题的关键.
练习册系列答案
相关题目