题目内容
某三棱锥的三视图如图所示,则该三棱锥的体积是( )
![]()
A.
B.
C.
D.1
【答案】
B
【解析】
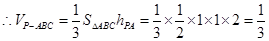
试题分析:由视图可得AB⊥BC,PA⊥平面ABC,AB=BC=1,PA=2,
.所以选B.
![]()
考点:1.三视图的知识.2.三棱锥的体积的计算.
练习册系列答案
相关题目