题目内容
已知函数
(其中a∈R).
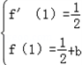
(Ⅰ)若函数f(x)在点(1,f(1))处的切线为
,求实数a,b的值;
(Ⅱ)求函数f(x)的单调区间.
(Ⅰ)若函数f(x)在点(1,f(1))处的切线为
(Ⅱ)求函数f(x)的单调区间.
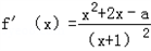
解:由
,可得
.
(Ⅰ)因为函数f(x)在点(1,f(1))处的切线为
,
得:
解得
(Ⅱ)令f'(x)>0,得x2+2x﹣a>0…①
当△=4+4a≤0,即a≤﹣1时,不等式①在定义域内恒成立,
所以此时函数f(x)的单调递增区间为(﹣∞,﹣1)和(﹣1,+∞).
当△=4+4a>0,即a>﹣1时,不等式①的解为
或
,
又因为x≠﹣1,
所以此时函数f(x)的单调递增区间为
和
,
单调递减区间为
和
.
所以,当a≤﹣1时,函数f(x)的单调递增区间为(﹣∞,﹣1)和(﹣1,+∞);
当a>﹣1时,函数f(x)的单调递增区间为
和
,单调递减区间为
和
.
(Ⅰ)因为函数f(x)在点(1,f(1))处的切线为
得:
解得
(Ⅱ)令f'(x)>0,得x2+2x﹣a>0…①
当△=4+4a≤0,即a≤﹣1时,不等式①在定义域内恒成立,
所以此时函数f(x)的单调递增区间为(﹣∞,﹣1)和(﹣1,+∞).
当△=4+4a>0,即a>﹣1时,不等式①的解为
又因为x≠﹣1,
所以此时函数f(x)的单调递增区间为
单调递减区间为
所以,当a≤﹣1时,函数f(x)的单调递增区间为(﹣∞,﹣1)和(﹣1,+∞);
当a>﹣1时,函数f(x)的单调递增区间为
练习册系列答案
相关题目