题目内容

直线kx+y-3k+1=0必经过的点是   
【答案】分析:随着实数k取不同的值,直线kx+y-3k+1=0表示不同的直线,而这一系列直线经过同一个定点.因此取两个特殊的k值,得到两条相交直线,将它们的方程联解得到交点坐标,即为所求直线kx+y-3k+1=0恒过的定点.
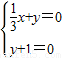
解答:解:取k=,得方程为x+y=0,此时对应的直线设为l1
再取k=0,得方程为y+1=0此时对应的直线设为l2
联解,得x=3且y=-1,所以直线l1与l2交于点P(3,-1)
P点即为所求直线kx+y-3k+1=0恒过的定点
故答案为:(3,-1)
点评:本题给出动直线恒过定点,要我们求直线恒过的定点坐标,着重考查了直线的方程及点与直线位置关系等知识,属于基础题.
练习册系列答案
相关题目

违法和不良信息举报电话:027-86699610 举报邮箱:58377363@163.com

精英家教网