搜索
题目内容
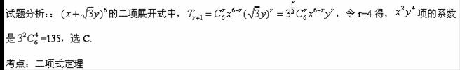
的二项展开式中,
项的系数是( )
A. 45 B. 90 C. 135 D. 270
试题答案
相关练习册答案
C
练习册系列答案
宏翔文化暑假一本通期末加暑假加预习系列答案
乐学训练系列答案
智乐文化学业加油站暑假作业系列答案
经纶学典暑期预科班系列答案
星空小学毕业总复习系列答案
新活力总动员暑系列答案
龙人图书快乐假期暑假作业郑州大学出版社系列答案
名题教辅暑假作业快乐生活武汉出版社系列答案
南粤学典名师金典测试卷系列答案
高分计划小考必备升学全真模拟卷系列答案
相关题目
(2013•上海)设常数a∈R,若
(
x
2
+
a
x
)
5
的二项展开式中x
7
项的系数为-10,则a=
-2
-2
.
(
x
-
1
x
)
5
的二项展开式中第二项的系数是
-5
-5
(用数字作答).
若(x
2
-
1
ax
)
6
的二项展开式中x
3
项的系数为
5
2
,则实数a=
-2
-2
.
求(1+2x)
8
的二项展开式中所有项的系数之和等于
6561
6561
.
在(x-y)
11
的二项展开式中,项的系数的绝对值最大的项为
-462x
6
y
5
或462x
5
y
6
-462x
6
y
5
或462x
5
y
6
.
关 闭
试题分类
高中
数学
英语
物理
化学
生物
地理
初中
数学
英语
物理
化学
生物
地理
小学
数学
英语
其他
阅读理解答案
已回答习题
未回答习题
题目汇总
试卷汇总
练习册解析答案